The Defecation Index as a Predictor of Failed Rectal Balloon Expulsion Test

The Defecation Index as a Predictor of Failed Rectal Balloon Expulsion Test

Daniella Assis, MD1*, Ellen Stein, MD1, Anthony N Kalloo, MD¹, Tsion Abdi, MD1

 

1. Division of Gastroenterology and Hepatology, Johns Hopkins University, Baltimore, MD

2. Division of Gastroenterology, Hepatology, and Nutrition, University of Minnesota, Minneapolis, MN

*Correspondence to: Daniella Assis, Division of Gastroenterology and Hepatology, Johns Hopkins University, Baltimore, MD. e-mail: danicassemiro17@gmail.com.

Copyright

© 2023 Daniella Assis. This is an open access article distributed under the Creative Commons Attribution License, which permits unrestricted use, distribution, and reproduction in any medium, provided the original work is properly cited.

Received: 15 December 2023

Published: 30 December 2023

Abstract

Background: Anorectal manometry (ARM) is important to evaluate anorectal function.  Dyssynergia is the inability to coordinate pelvic floor muscles during defecation.  Defecation Index (DI) calculates the highest rectal pressure during bear down by its residual anal pressure. Balloon expulsion test (BET) is performed by insertion of a Foley catheter balloon into the rectum and is considered a surrogate test of pelvic floor dysfunction.  Inability to expel the balloon is considered failure.  The objective was to explore the value of the DI as a surrogate marker for BET.  Methods: ARM studies from Johns Hopkins Hospital and Johns Hopkins Bayview Medical Center database from 2015-2016 were reviewed.  Patients with complaints of constipation who underwent BET were included. DI was calculated for each patient. Key Results: 229 patients had constipation (47.8 ± 16.7 years old, 192[84%] female); 160 (69.8%) failed BET. Abnormal DI (<1.5mmHg) was found in all patients. Patients who failed BET had a significantly lower DI when compared with patients who had a successful BET (0.44 ± 0.2mmHg vs 0.62 ± 0.2mmHg; p<0.001). A DI? 0.1mmHg was highly specific (97.1%) for failed BET.  Dyssynergia was more prevalent in BET failure versus in successful BET (74% vs 45%; p<0.001). Anal resting pressure (ARP) was higher in BET failure (71.5 ± 0.6mmHg vs 61.9 ± 24.5mmHg; p=0.001). Conclusion: Lower DI, dyssynergia and higher ARP were significantly associated with BET failure in constipated patients. A DI? 0.1mmHg is predictive of BET failure and indicates that BET may not be necessary in this select group of patients.

Key words: constipation, defecation, index, manometry, pelvic floor, pressure.


The Defecation Index as a Predictor of Failed Rectal Balloon Expulsion Test

Introduction 

In North America, 12-19% of the population report evacuation disorders.1   The defecation process requires coordinated muscular contractility of the rectum and relaxation of the anus.  Anorectal manometry (ARM) measures anorectal functions and reflexes, including rectal sensation and recto anal pressure changes when bearing down.2 High-resolution manometry (HRM) provides detailed intraluminal pressure recordings and requires less time than conventional manometry.3 Our patients all had high-resolution anorectal manometry.

During ARM, rectal and anal sphincter pressures are measured during a bear down.  The defecation index (DI)  is the ratio between the maximum intrarectal pressure and the anal sphincter residual pressure during attempted defecation.2  Uncoordinated function of the anorectum is referred to as dyssynergic defecation or dyssynergia. Dyssynergia is classified into 4 types.  These types are assessed during attempted defecation (also called push attempt or bear down), performed by the patient during an ARM study.  In type 1, patients have an adequate push attempt followed by a paradoxical anal contraction.  Type 2 is described by inadequate push attempt also with a paradoxical anal contraction.  Type 3 shows increase in rectal pressure accompanied by an impaired anal relaxation. Type 4 demonstrates an inadequate increase in rectal pressure with impaired anal relaxation.4

The balloon expulsion test (BET) may be performed after an ARM study and it is a simple, but possibly uncomfortable, technique of assessing the patients’ ability to defecate.  The BET is performed by insertion of a 20 Fr Foley catheter into the rectum and inflation of the balloon with 50ml of sterile water.  The patient is asked to sit on a commode and expel the balloon. The expulsion of the balloon is timed.  The inability to expel the balloon within 2 minutes is highly suggestive of anorectal dyssynergia. Our aim was to determine if the DI could predict BET results in constipated patients who underwent ARM. 


Materials and Methods

We reviewed 348 ARM studies from 2015 and 2016 from the Johns Hopkins Hospital and Johns Hopkins Bayview Medical Center database.  Patients with constipation who underwent ARM and BET were included in this study.  Patients who did not undergo BET were excluded.  The results of the balloon expulsion tests were recorded for every patient. 

The DI was calculated for each bear down.  Standard protocol for ARM has at least 3 bear downs performed.  The average defecation index (DI) value from the 3 recorded bear downs was calculated.  The DI is the ratio between the maximum intrarectal pressure and its anal sphincter residual pressure during attempted defecation:

                                             DI = maximum rectal pressure / residual anal pressure

Normal DI is >1.5 mmHg, according to Kim et al.6

All studies were performed using High Resolution Manometry, and several anorectal indices were assessed.  The manometry studies were performed using ManoScan ™ AR High Resolution Manometry System [(Medtronic ©, Minneapolis, MN) Figure 1], and the readings were analyzed using ManoView™AR Analysis Software (Medtronic ©, Minneapolis, MN).  The patients were studied in the left lateral decubitus position and a 3D catheter featuring a probe with 256 points of measurement generated by 16 axial x16 circumferential sensors (Figure 2) was used for all the studies.  The dyssynergia types were fully collected according to the classification of dyssynergia described by Rao et al.5 7 and are demonstrated in Table 1.   

ARM studies proceeded in the following sequence: catheter insertion, pause for accommodation, assessment of the anal resting pressure (ARP), followed by three squeezes (20 seconds each and 1 minute in between), and then three attempted defecations (same duration and interval time).  Rectal sensitivity and recto-anal inhibitory reflex (RAIR) were assessed.  Volume to first sensation and urge to defecate were recorded by intermittent and progressive balloon fills performed with a hand-held syringe in 10 ml increments of air, increasing to a maximum of 200 ml of air. After sensitivity testing, balloon was rapidly inflated with 60 ml of air to assess the absence or presence of RAIR.8

The indices reviewed were the anorectal pressure at rest, the length of the high-pressure zone (HPZ), which is automatically measured by the software4, the average pressure of the 3 squeezes, the average DI of the 3 bear downs, and the volume and compliance at first sensation and urge to defecate.  The BET results were reported, balloon expulsion within 2 minutes was termed success.  Balloon expulsion beyond 2 minutes was termed failure.

Patients were divided into 2 groups, those with successful BET and those with failure of BET.  The two groups were analyzed with SPSS statistical software (version 25.0; SPSS, Chicago, IL, USA), and several cutoff values of DI were determined and compared to BET results.  A 2x2 conventional table was created for different values of DI (between 0.1 and 0.9 mmHg), and BET was used to define the presence or absence of defecatory dysfunction. Failure of BET was considered positive for defecation disorder, and successful BET was negative for defecatory dysfunction.  The sensitivity and specificity of various DIs were calculated with the objective of finding the value with the best specificity to predict a failed BET.  A ROC (receiver operating characteristic) curve was also created to demonstrate graphically the results (Figure 3).   The ROC curve shows the adjustment between sensitivity and specificity, where an increase in specificity will be accompanied by a decrease in sensitivity.

 

DYSSYNERGIA

CLASSIFICATION

 

PUSH

ANAL CONTRACTION

TYPE 1

Adequate

Paradoxical contraction

TYPE 2

Inadequate

Paradoxical contraction

TYPE 3

Adequate

Inadequate relaxation (less 20%)

TYPE 4

Inadequate

Inadequate relaxation (less 20%) or no change

Table 1. Dyssynergia classification according to Rao et al.5

 

 

(n = 229)

Balloon Expulsion Test

P value

 

 

Success

(n = 69)

Failure

(n = 160)

 

Age

47.8 ± 16.7

42.7 ± 16.5

50.1 ± 16.3

0.452

Male

37 (16%)

9 (13%)

28 (17%)

0.441

HPZ length (cm)

3.6 ± 0.8

3.6 ± 0.9

3.5 ± 0.8

0.917

ASP (mmHg)

158.3 ± 69.9

148.8 ± 65.6

162.4 ± 71.5

0.211

Volume at sensation (ml)

25.1 ± 22.7

26.5 ± 17.9

24.4 ± 24.5

0.109

Volume at urge (ml)

56.6 ± 36.3

56.0 ± 32.3

56.8 ± 38.0

0.528

Rectal compliance at sensation

(ml/mmHg)

0.56 ± 0.53

0.63 ± 0.54

0.54 ± 0.53

0.319

Rectal compliance at urge (ml/mmHg)

1.35 ± 0.96

1.36 ± 0.88

1.34 ± 1.0

 0.458

ARP (mmHg)

68.5 ± 22.3

61.9 ± 24.5

71.5 ± 20.6

<0.001

Defecation index

0.49 ± 0.25

0.62 ± 0.26

0.44 ± 0.22

<0.001

Dyssynergia

150 (65%)

31 (45%)

119 (74%)

<0.001

 

Table 2. All subject characteristics.  HPZ: high pressure zone.  ASP: average squeeze pressure. ARP: anal resting pressure.

Figure 1.  ManoScan ™ AR High Resolution Manometry System [(Medtronic ©, Minneapolis, MN).

Figure 2. 3D Anorectal manometry catheter (Medtronic ©, Minneapolis, MN).

Figure 3. Defecation index ROC curve.

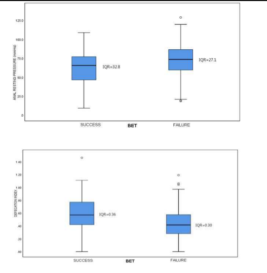
Figure 4. High resolution ARM parameters and BET results. Patients who failed BET had higher ARP values when compared to those who succeeded. A lower DI was also associated with BET failure. IQR= interquartile range.

Figure 5. ARM examples of bear downs with low and high DI values.  DI=0.08, patient had BET failure.  DI=1.38, patient had successful BET.

Figure 6. Dyssynergia types in constipated patients.

Figure 7. Dyssynergia types in patients with BET failure.

 

Results

We reviewed 348 patients.  After excluding patients without constipation, 229 patients were evaluated. The mean age was 47.8 ± 16.7 years old, and the majority were female patients (192 - 84%).   The mean anal squeeze pressure (ASP) was 148.8 ± 65.6 mmHg in the successful BET group and 162.4 ± 71.5 mmHg in the BET failure group and was not statistically different (p= 0.2111).  Over half of patients failed the BET (160 - 69.8%).  There were no patients with normal DI (≥ 1.5 mmHg 6).  DI values ranged between 0 and 1.46 (mean 0.48 ± 0.25 mmHg).

We examined sensation and urge as possible predictors of BET failure.  The average values for first sensation when performing intermittent balloon filling were normal (26.5 ± 17.9 ml in succeeded BET and 24.4 ± 24.5 ml in failed BET) and were not statistically correlated with BET performance (p=0.109).  For urge to defecate, the mean volumes were 56.0 ± 32.3 ml for the successful BET group and 56.8 ± 38.0 ml for BET failure group, which was not statistically correlated with BET performance (p=0.528).  Therefore, neither sensation nor urge predicted BET performance. 

The ARP was significantly higher in patients with BET failure (71.5 ± 20.6 mmHg) versus successful BET (61.9 ± 24.5 mmHg), p= 0.001.  Meanwhile, the DI was significantly lower in patients with BET failure (0.44 ± 0.2 mmHg) versus successful BET (0.62 ± 0.2 mmHg), p<0.001.  The ARP/BET and the DI/BET comparison graphs are shown in Figure 4, and the ARM baseline parameters among the study cohort are listed in Table 2.       

Specificity and sensitivity were calculated for several cutoff values of DI from 0.1 to 0.9 mmHg.  The cut point with the greatest balance between sensitivity and specificity was < 0.47 mmHg, showing a specificity of 68.12% and a sensitivity of 61.88%, which was still not enough to highly predict BET failure. 

Lower values of DI were more specific in predicting a BET failure.  A DI ≤ 0.1 mmHg had a 97.1% specificity for BET failure and 99% when using a cut-off of ≤ 0.09 mmHg.  The sensitivity in both these values of DI were below expected at 6.2% and 6% respectively.  DI of 0.9 mmHg demonstrated higher sensitivity (82%), but with a specificity of only 18% for BET failure, it becomes less useful.  DI=1.0 mmHg showed only 9% specificity.  Some examples of studies with low and high DI are shown in Figure 5.

Dyssynergia types were also recorded, and Type 1 was the most prevalent diagnosis among constipated patients (72 – 31.4%).  Eleven patients (4.8%) presented with dyssynergia type 2, 48 (20.9%) were classified as type 3, and only 19 (8.2%) had type 4 (Figure 6).  Dyssynergia was more prevalent among those who failed BET versus those who had successful BET (74% vs 45%; p<0.001), and type 1 was also the most common dyssynergic pattern found in the group of BET failure (53 patients – 33.2%).  However, a notable portion of patients who failed BET had no demonstrable dyssynergia on ARM (41 – 25.6%).  In Figure 7, we display the range of types of dyssynergia found in patients with failed BET.


Discussion

ARM has been the most extensively used technique to evaluate pelvic floor dysfunction.  ARM is recommended in the assessment of patients with constipation or fecal incontinence.9  
The DI as described by Kang et al.3 is a recto anal pressure gradient and is defined by the pressure difference between rectal and anal pressures taken over 2 seconds at the highest recto anal pressure gradient during pushing period.  A study by Rao et al.2 evaluated a group of 45 healthy adults undergoing ARM with a 4-cm-long latex balloon made from a latex condom (Trojan-enz, nonlubricated, Carter Wallace, New York, NY) tied to a 6-mm diameter probe.  They concluded that the mean DI was higher than 2.0 in all 45 patients.  They also observed a normal response to the BET in 35 (78%) individuals, showing us that healthy patients are more likely to have successful BET and higher DI.  Although DI is frequently measured, no study has yet demonstrated its clinical utility. Our study is the first to evaluate its clinical application and assess its role as a possible surrogate marker for BET.  
Our retrospective study examined patients with complaints of constipation who underwent both ARM and BET.  All patients had an abnormal DI below 1.5 mmHg.  One patient had a DI between 1.4 and 1.5 mmHg (DI= 1.46 mmHg), and this patient had successful BET. 
This study suggests that DI is a useful tool in predicting BET failure and the presence of dyssynergic defecation in patients with chronic constipation. 
This study demonstrates that patients with a DI ≤ 0.1 mmHg have a high chance of BET failure (specificity 97.1%).  Lower DI, dyssynergia and higher resting baseline pressures were associated with unsuccessful BET in patients with symptomatic constipation.  A DI ? 0.1 mmHg can be highly predictive of a failed BET and suggests that BET may not be mandatory in this select group of patients. 

 

Disclosures: There are no disclosures for the present article.

Reference

1.Higgins PD, Johanson JF. Epidemiology of constipation in North America: a systematic review. Am J Gastroenterol 2004;99:750-9.

2.Rao SS, Hatfield R, Soffer E, et al. Manometric tests of anorectal function in healthy adults. The American journal of gastroenterology 1999;94:773-783.

3.Kang HR, Lee JE, Lee JS, et al. Comparison of High-resolution Anorectal Manometry With Water-perfused Anorectal Manometry. J Neurogastroenterol Motil 2015;21:126-32.

4.Lee TH, Bharucha AE. How to Perform and Interpret a High-resolution Anorectal Manometry Test. J Neurogastroenterol Motil 2016;22:46-59.

5.Rao SS, Patcharatrakul T. Diagnosis and Treatment of Dyssynergic Defecation. J Neurogastroenterol Motil 2016;22:423-35.

6.Kim JH. How to interpret conventional anorectal manometry. J Neurogastroenterol Motil 2010;16:437-9.

7.Andrianjafy C, Luciano L, Bazin C, et al. Three-dimensional high-resolution anorectal manometry in functional anorectal disorders: results from a large observational cohort study. Int J Colorectal Dis 2019.

8.Cheeney G, Nguyen M, Valestin J, et al. Topographic and manometric characterization of the recto-anal inhibitory reflex. Neurogastroenterol Motil 2012;24:e147-54.

9.Carrington EV, Scott SM, Bharucha A, et al. Expert consensus document: Advances in the evaluation of anorectal function. Nat Rev Gastroenterol Hepatol 2018;15:309-323.

 

Figure 1

Figure 2

Figure 3

Figure 4

Figure 5

Figure 6

Figure 7

antarmuka fokus mahjong daya pengguna aktifaws grid serasi mahjong dasar tahapan terjagaaws jejak mekanisme mahjong arah fase lanjutanaws kajian wild berantai mahjong interaktif analitisaws kesesuaian persentase layanan mahjong seluler lanceraws pendalaman persentase mahjong gerak wild mutakhircorak langka mahjong tumbuh perlahan berubahgerak mahjong adaptasi mekanisme pemakai sekarangnalar scatter mahjong malam putaran ekstratempo mahjong kaitan mekanisme keadaan terkinialur permainan mahjong cepat scatter wilddalam hitungan detik scatter wild mahjongmenyatukan naluri pola scatter hitam mahjongmomen mahjong permainan berbalik arahmomen singkat mahjong dinamika permainanperpaduan insting pola scatter hitam momentperubahan drastis mahjong ways scatter wildscatter wild mahjong datang polasekejap berubah scatter wild mahjong wayssensasi baru mahjong lebih scatter wildenergi scatter emas irama reel mahjongevolusi reel mahjong balutan mistisintervensi cepat emas momentum lamakemunculan mendadak naga emas mahjongketika scatter naga emas aktif mahjongnaga emas muncul arah spin mahjongnaga emas ritme mahjong ways berubahrahasia rtp tinggi balik scatter hitamsaat scatter naga emas alih irama reelscatter hitam kunci lonjakan rtp mahjonge5 scatter wild memberikan sentuhan baru di setiap spin mahjong ways 2e5 scatter wild menghidupkan suasana permainan mahjong ways 2e5 scatter wild mengubah pola permainan mahjong ways 2 secara signifikane5 setiap putaran mahjong ways 2 terasa berbeda dengan scatter wilde5 strategi adaptif berbasis analisis rtp hariane5 strategi berbasis data dan algoritma untuk analisis momentume5 strategi berkembang berkat data rtp hariane5 strategi memahami algoritma untuk mengidentifikasi momentum ideale5 strategi membaca pola algoritma demi menangkap momentum optimale5 strategi modern mengandalkan evaluasi rtp hariane5 strategi responsif dengan dukungan evaluasi rtp hariane5 strategi terukur dengan analisis rtp hariane5 struktur scatter dan wild terlihat jelas berkat analisis sistem moderne5 tanpa disadari kombinasi ini sering mengarah ke scatter di mahjong wins 3e5 teknik evaluasi algoritma untuk mendapatkan momentum yang tepate5 teknik observasi sistem untuk analisis momentum yang lebih presisie5 terungkap formasi ini sering jadi awal munculnya scatter di mahjong wins 3e5 transformasi digital rtp live berkat artificial intelligence inovatife5 transformasi ritme mahjong ways 2 dipicu oleh kekuatan scatter wilde5 wajib tahu pola tersembunyi ini sering menghasilkan scattere5 applee5 bananae5 candye5 doge5 eaglee5 falcone5 geminie5 horsee5 indiae5 japananalisa pola mahjong ways rutinanalisis kinerja heuristik variansi gameanalisis pola mahjong ways hariananalisis pola mahjong ways kebiasaanera baru mahjong wins bonus optimalgebrakan bonus mahjong wins mekanisme efisieninsight pola mahjong ways rutinkajian pola mahjong ways rutinkomparasi heuristik variansi game digitalledakan bonus mahjong wins sistem efektifmahjong wins bonus sistem generasi baruobservasi pola mahjong ways harianpendekatan algoritma heuristik variansi gameperbandingan model heuristik variansi gamerahasia bonus mahjong wins sistem cerdasrangkuman pola mahjong ways harianringkasan pola mahjong ways harianstudi pola mahjong ways hariantinjauan heuristik variansi game digitaltinjauan pola mahjong ways harianalur sombol mahjong kemunculan scatterdari rtp mahjong bermain lebih efektifjejak scatter mahjong putaran tenangkejutan scatter wild simbol mahjong arahkemunculan simbol ganda membuat mahjongketika grid mahjong scatter semakin dekatketika rtp mahjong pola mulai lebih jelasketika scatter wild ritme simbol mahjongketika scatter wild titik sesi mahjong waysketika susunan simbol mahjong ritme scattermemahami rtp mahjong cara bermain lebihpergerakan simbol mahjong scatter wildpergeseran mahjong ketika scatter hadirsaat rtp mahjong terbaca baik strategisaat scatter hadir simbol mahjong bergeserscatter wild dinamika simbol mahjongstabilitas putaran mahjong pola scattersusunan baru reel mahjong scatter emassusunan mahjong wins mengandung scattersusunan simbol mahjong diam pola scatterrm menguak keunikan mahjong wins sudut pandang teknisrm cara memahami pergerakan mahjong ways tenaga ekstrarm mahjong wins standar baru industri hiburan digitalrm rahasia ketahanan mahjong ways eksis gempuran gamerm pentingnya memahami transisi level mahjong wins mendalamrm strategi mengatur tempo mahjong ways kendali permainanrm peran kecerdasan buatan mekanisme mahjong wins adilrm alasan keberhasilan mahjong ways mencuri perhatian analisrm mempelajari struktur dasar mahjong wins efisiensi putaranrm inovasi desain mahjong ways kesan bermain responsifrm teknik observasi mahjong wins jarang dibahas dampakrm cara mempertahankan fokus dinamika mahjong ways cepatrm eksplorasi fitur tersembunyi mahjong wins ritme terbaikrm mahjong ways integrasi teknologi modern keamanan nyamanrm analisis faktor pendukung mahjong wins digemari generasirm langkah efektif menyesuaikan perubahan sistem mahjong waysrm mengintip proses pengembangan mahjong wins kualitas penggunarm analisis data membantu membaca arah mahjong waysrm menemukan titik temu insting logika mahjong winsrm transformasi besar mahjong ways menghadirkan tantangan menarikmengungkap simbol langka nasib drastismisteri besar kombinasi simbol langkamisteri simbol langka keberuntungan besarsimbol langka misterius ubah hiduprahasia simbol langka nasib cepattransformasi bonus mahjong wins sistem efektifmahjong wins suguhkan bonus sistem modernsuguhan bonus efisien mahjong winsefektivitas sistem bonus mahjong winsmahjong wins hadirkan bonus sistem optimaloke76cincinbetaqua365slot gacorstc76samurai76TOBA1131samurai76 login