Determination of Vena Contracta Reference Values in Children with Physiologic Tricuspid Valve Insufficiency

Determination of Vena Contracta Reference Values in Children with Physiologic Tricuspid Valve Insufficiency

Seyma Kayali, MD*1

1. Health Sciences University, Ankara Atatürk Sanatoryum Training and Research Hospital, Pediatric Cardiology, Ankara, Turkey.

*Correspondence to: Seyma Kayali. Department of Pediatric Cardiology, Ankara Atatürk Sanatoryum Training and Research Hospital. P?narba?? Mah. Sanatoryum Cad. Ardahan Sok. No:25  06380 Keçiören / Ankara.

Copyright

© 2024: Seyma Kayali. This is an open access article distributed under the Creative Commons Attribution License, which permits unrestricted use, distribution, and reproduction in any medium, provided the original work is properly cited.

Received: 24 February 2024

Published: 15 March 2024

DOI:https://doi.org/10.5281/zenodo.10836652


Abstract

Objective: Physiologic tricuspid valve insufficiency is a common echocardiographic finding in healthy children. However, there is limited data on its echocardiographic characteristics in childhood. Vena contracta (VC) is defined as the narrowest part of the regurgitant insufficiency jet, which is measured by color Doppler echocardiography just distal to the regurgitant orifice. It is usually preferred because of its simplicity in measuring in clinical practice and sensitivity in revealing the severity of valve insufficiency. However, due to the growing nature of pediatric population, it is difficult to report exact values of vena contracta to distinguish between pathologic and physiologic tricuspid valve insufficiency. The aim of this study is to determine if there is a relationship between anthropometric measurements and vena contracta diameter. Additionally, the study aims to calculate reference values for vena contracta in healthy Turkish children with tricuspid valve insufficiency.

Methods: A total of 487 children between the ages of 0 and 18 years, who were admitted to the pediatric cardiology clinic and had normal echocardiographic evaluations, were included in the study. Measurements of VC and tricuspid valve regurgitation jet length were obtained using color Doppler echocardiography, while the velocity of the tricuspid valve was measured using continuous wave Doppler echocardiography. The vena contracta width of the tricuspid regurgitation was typically visualized in the apical four-chamber view using optimal settings to obtain the best image quality.

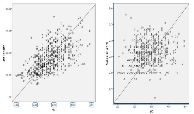
Results: The mean VC in the study group was 2.77 ± 0.7 mm, and there was no significant difference between genders in terms of VC value. There was a statistically significant positive correlation between age and body surface area and VC value. In addition, there was a significant positive correlation between VC and echocardiographically measured insufficiency jet length and velocity.

Conclusion: The present study offers reference values and z-scores for VC measurement in tricuspid valve insufficiency in healthy Turkish children. This fills the existing gap in knowledge and enhances the clinical utility in distinguishing between pathological valve insufficiency.

Keywords: physiological, tricuspid valve insuffiency, healthy children, vena contracta, z score


Determination of Vena Contracta Reference Values in Children with Physiologic Tricuspid Valve Insufficiency

Introduction

Tricuspid valve insufficiency (TI) is a common echocardiographic finding in children with a structurally normal heart, which is referred to as "physiological" TI. There is still limited data about its echocardiographic features and how to differentiate it from pathologic valve insufficiency, especially in childhood. Although noninvasive measurement of TI is still controversial, echocardiography with color Doppler flow measurements provides a semi-quantitative method for estimating the severity of regurgitation with high specificity and sensitivity.

Vena contracta is one of the color Doppler measurements defined as the smallest part of the turbulent regurgitant jet, before the expansion of it, just distal to the regurgitant orifice (6) (Figure 1). VC width can be measured by transthoracic echocardiography with good feasibility and is also well correlated with other sensitive color Doppler measurements, such as the effective regurgitant orifice area and the regurgitant volume (7). It is especially useful to recognize small jets, as in physiological valvular insufficiencies (8). In addition, vena contracta (VC) measurement is a valuable screening test for the differential diagnosis of mild and severe tricuspid insufficiency. Although the determination of VC width for the assessment of tricuspid insufficiency is a useful, simple, and reliable method, no study has examined the vena contracta in cases of "physiological" tricuspid insufficiency. Therefore, we aimed to evaluate tricuspid insufficiency in healthy Turkish children using two-dimensional Doppler echocardiography and to establish reference values for VC by age groups.

 

Methods:

Subjects:

This study was conducted at the outpatient pediatric cardiology department of *** Hospital between January 2017 and April 2018. Participants with physiological tricuspid insufficiency (TI) were identified based on the recommendations of the American Society of Echocardiography. Regurgitation was localized to a region adjacent to valve closure, did not extend throughout systole, and had a low signal strength (5). Patients aged 0-18 years with physiologic tricuspid insufficiency, without congenital and/or acquired heart disease, whose echocardiographic examination was normal, and who had regular sinus rhythm, formed the study group. In addition to age, children were categorized into 9 groups: 0-1 month, 1-3 months, 3-6 months, 6-12 months, 1-3 years, 3-5 years, 5-9 years, 9-13 years, and 13-18 years. The formula by Mosteller et al., where the body surface area (BSA) (m2) = square root of [height (cm) × weight (kg)/3,600], was used to measure the body surface area of children. Children with the presence of more than one tricuspid regurgitant jet on color-flow Doppler imaging, irregular rhythm, structural anomalies of the tricuspid valve, congenital and/or acquired heart disease, and other noncardiac health problems were excluded from the study.


Echocardiography:

All participants underwent two-dimensional and Doppler echocardiographic studies using 3-5 MHz transducers and Vivid 3 devices (GE Healthcare, USA) while in the supine or left decubitus position. Participants were at rest and not sedated during the procedure. The color Doppler images of VC were obtained from an apical or right ventricular inflow view during midsystole by an experienced pediatric cardiologist to avoid interobserver variability. Subsequently, the measurements of VC during two to three consecutive cardiac cycles were averaged for each patient. To provide optimal screening, the gain was adjusted step by step to obtain the maximum color gain level, and the region of interest was zoomed in. The low velocity cutoff ranged from 2.1 to 6 cm/s. The aliasing velocity ranged from 46 to 96 cm/s (9). In a randomly selected group of 10 patients, measurements of the VC were repeated from video recordings within a one-week period to determine intraobserver variability. In addition, color and continuous-wave (CW) Doppler techniques were used for all patients to determine the length of tricuspid insufficiency (TI) (in mm) (between the terminal of the regurgitant jet and the tricuspid valve) and the velocity of TI.


Statistical analysis:

The data were recorded using the Statistical Package for the Social Sciences program version 21 (SPSS Inc., Chicago, IL, USA). The distributions of continuous variables were analyzed using the Shapiro-Wilk test. The descriptive statistics were defined as the mean ± standard deviation for normally distributed data and as the median (minimum–maximum) for non-normally distributed data. To evaluate the relationship between two continuous variables that exhibit a normal distribution, a Pearson correlation was used. A Spearman correlation analysis was used to evaluate the relationship between two continuous variables with non-normally distributed data. A p-value less than 0.05 was considered significant.


Ethical Considerations:

The present study was approved by a scientific committee comprising the hospital administration and the lecturers (number: 43278876-929-179-1233) and was performed in accordance with the Declaration of Helsinki. Written informed consent was obtained in advance of the study from the parents of the study participants.

 

Results

A total of 487 healthy Turkish children, including 210 girls (43.1%) and 277 boys (56.9%), formed the study group. Age distribution according to gender is presented in Figure 2; the demographic features and echocardiographic measurements of participants are summarized in Table I. All participants had physiological TI. The mean VC value in the study group was 2.77 ± 0.7 mm. There was no significant difference between genders in terms of VC value (p = 0.23). Intraobserver variability was low, at 2.2% ± 4.8.

There was a strong positive correlation between age and surface area surface with VC (r = 0.65).

The jet length of TI and the velocity of TI were also correlated with VC values (r=0.6, p<0.05).

The ±2 and ±3 z-scores for VC values based on the age groups of patients are presented in Table II. The reference values of VC based on body surface area and gender are provided in Table III and Table IV.

Table 1, 2, 3, 4

Figure 1. The measurement of VC width by color Doppler echocardiography

Figure 2. Age distrubition according to gender

Figure 3. The correlation between VC and jet length, velocity

Please click here to view all tables


Discussion

Tricuspid regurgitation is a common echocardiographic finding in children with normal hearts. Valvular regurgitation has become easily recognized and diagnosed non-invasively due to advancements in using new echocardiography devices and color Doppler methods in recent years. However, there is limited data available on color Doppler imaging and the frequency of physiologic tricuspid insufficiency in healthy pediatric populations. Although the non-invasive assessment of native valvular regurgitation remains controversial, previous studies have indicated that color-flow Doppler imaging of vena contracta width is a valuable and straightforward measure for quantifying tricuspid regurgitation. Adult studies suggest that a vena contracta width greater than 0.7 cm indicates severe and pathological tricuspid insufficiency. However, there is no established cutoff value for vena contracta width to differentiate between physiologic and pathologic tricuspid insufficiency in childhood. To date, no studies have been conducted to measure the vena contracta (VC) width in physiologic tricuspid insufficiency (TI) and to determine the reference values in the pediatric age group. The results of this study provide the following insights:

VC width measurement is not only a simple and feasible method in clinical practice but also well-correlated with other echocardiographic parameters that require repetitive measurements and are more time-consuming, such as effective regurgitant orifice area, TI jet area, hepatic venous flow pattern, and the right atrium area. Although we did not perform these measurements, we also found a strong correlation between VC width and TI jet size and velocity of TI, which are commonly used in clinical practice. As children have a growing and developing nature, it is difficult to determine a single cutoff value to differentiate between physiological and pathological TI. It is advantageous to establish reference values based on age or body surface area and to utilize these values in clinical practice. We found a positive correlation between age and body surface area and VC width and determined reference values of VC width in physiological TI. Calculating pulmonary arterial systolic pressure from tricuspid regurgitation jet velocity by applying the Bernoulli equation is commonly utilized in echocardiographic assessment of pulmonary hypertension. Because of this special use of TI, in case of other Doppler methods are not sufficiently helpful, understanding the reference values of vena contracta (VC) in TI may be beneficial. This knowledge can aid in determining prognosis, particularly before and after surgeries for congenital heart diseases. Moreover, knowledge of cutoff  VC values according to age could help specialists identify pathological valve insufficiency.


Limitations:

We are aware of the limitations of the present study. The most significant limitation is caused by the measurement method of VC itself. For example, small measurement errors can lead to large percentage errors, necessitating confirmation for intermediate values. The number of participants in the 0-5 age group was fewer than in other age groups. Due to the age of the patients, optimal echocardiographic assessment was challenging. The other potential limitation was that we only evaluated physiological TI, to understand and determine the TI severity in children, further large-sample studies involving functional and pathological TI cases are required.


Conclusion

Despite known limitations, VC measurement is independent of hemodynamic and device-dependent factors and is suitable for extreme measurements such as mild and severe TI. So, VC measurement is a rapid, easy, and reliable method to evaluate physiological TI.The present study provides reference values and z-scores for VC measurement in tricuspid valve insufficiency in healthy Turkish children, which have not been established before.


References

1.Ayabakan C, Ozkutlu S, Kiliç A. The Doppler echocardiographic assessment of valvular regurgitation in normal children. Turk J Pediatr. 2003;45(2):102-7.

2.Okura H, Takada Y, Yamabe A, Ozaki T, Yamagishi H, Toda I, et al. Prevalence and Correlates of Physiological Valvular Regurgitation in Healthy Subjects. Circulation Journal. 2011;75(11):2699–704.

3.Uysal F, Bostan OM, Cil E. Determination of reference values for tricuspid annular plane systolic excursion in healthy Turkish children. The Anatolian Journal of Cardiology 2016; 16: 354-9.

4.Lee S-T, Lin M-H. Color Doppler Echocardiographic Assessment of Valvular Regurgitation in Normal Infants. Journal of the Formosan Medical Association. 2010;109(1):56–61.

5.Zoghbi W. Recommendations for evaluation of the severity of native valvular regurgitation with two-dimensional and doppler echocardiography. Journal of the American Society of Echocardiography. 2003;16(7):777–802.

6.Kozlowski P, Rodriguez-Molares A, Tangen TA, Kristoffersen K, Torp H, Gerard O, et al. Adaptive Color Gain for Vena Contracta Quantification in Valvular Regurgitation. Ultrasound in Medicine & Biology. 2018;44(8):1770–7.

7.Quéré JP, Tribouilloy C, Enriquez-Sarano M. Vena contracta width measurement: Theoretic basis and usefulness in the assessment of valvular regurgitation severity. Current Cardiology Reports. 2003;5(2):110–5.

8.Suzuki Y, Kambara H, Kadota K, Tamaki S, Yamazato A, Nohara R, et al. Detection and evaluation of tricuspid regurgitation using a real-time, two-dimensional, colorcoded, Doppler flow imaging system: Comparison with contrast two-dimensional echocardiography and right ventriculography. The American Journal of Cardiology. 1986;57(10):811–5.

9.Lancellotti P, Tribouilloy C, Hagendorff A, Popescu BA, Edvardsen T, Pierard LA, et al. Recommendations for the echocardiographic assessment of native valvular regurgitation: an executive summary from the European Association of Cardiovascular Imaging. European Heart Journal - Cardiovascular Imaging. 2013;14(7):611–44.

10.Tribouilloy CM, Enriquez-Sarano M, Bailey KR, Tajik A, Seward JB. Quantification of tricuspid regurgitation by measuring the width of the vena contracta with Doppler color flow imaging: a clinical study. Journal of the American College of Cardiology. 2000;36(2):472–8. 11. Siegel RJ, Luo H, Makar M, Beigel R. Optimal use of echocardiography in valvular heart disease evaluation. Heart. 2015;101(12):977–86.

11.Yang W-I, Shim C-Y, Kang M-K, Chang H-J, Chung N, Cho S-Y, et al. Vena Contracta Width as a Predictor of Adverse Outcomes in Patients with Severe IsolatedTricuspid Regurgitation. Journal of the American Society of Echocardiography. 2011;24(9):1013–9.

12.Augustine DX, Coates-Bradshaw LD, Willis J, Harkness A, Ring L, Grapsa J, et al. Echocardiographic assessment of pulmonary hypertension: a guideline protocol from the British Society of Echocardiography. Echo Research and Practice. 2018;5(3)

Figure 1

Figure 2

Figure 3

aws antarmuka mahjong navigasi mudah pemulaaws emosi stabil mahjong alur jernihaws inovasi pgsoft mahjong interaktif modernaws mahjong kepercayaan visual stabil pengalamanaws manajemen risiko mahjong tumbling ramaiaws pergeseran algoritma volatilitas scatter hitamaws reputasi mahjong sistem rasional konsistenaws sinkronisasi formasi ritme lucky nekoaws tata letak simbol mahjong spasialaws validasi sinyal mahjong ritme objektifbaby masuk plisberkah dari tuhancahaya menerangidoa dari tuhanpasti masuk fixcinta lama kembalicurhatan dari temanmahjong wins so seru bestiepasti bisa dongsemangat boskuevaluasi gates of olympus pola outcomeanalisis mahjong ways dinamika rtp longitudinalevaluasi mahjong ways 2 frekuensi scattermahjong wins 3 analisis scatter rtpmahjong ways perilaku rtp polaanalisis variabilitas rtp mahjong waysdistibusi simbol adaptif rtp online modernstuktur pola simbol penentui rtp onlinemengungkap mekanisme rtp slot digitalmekanisme distribusi simbol rtp kasino onlinedinamika distribusi simbol rtp stabilmengamati perubahan hasil mahjong wayspendekatan membaca hasil mahjong waysfluktuasi mahjong ways kajian polaeksplorasi mahjong ways online pola ritmeanalisis mendalam mahjong ways pola sesie5 strategi adaptif permainan berbasis data rtp hariane5 strategi cerdas permainan mengacu pada data rtp hariane5 strategi dinamis permainan dengan analisis data rtp hariane5 strategi modern yang fleksibel berlandaskan data rtp hariane5 strategi responsif permainan dengan data rtp hariane5 suguhkan bonus baru dengan sistem kerja lebih efektif mahjong wins 3e5 tabir misteri scatter dan wild terkuak berkat analisis data mendalame5 tampilkan inovasi bonus dengan pendekatan efisien dengan ai di mahjong wins 3e5 tawarkan mekanisme bonus baru yang lebih efisien di mahjong wins 3e5 transformasi sistem rtp live berkat dukungan teknologi ai modernd astagad beranid cacingd emasd fired goatd hourd jilld kold lineera baru kasino digital daya tarik utamaera baru kasino online kecerdasan buataninovasi mahjong metode terbaru praktisinovasi platform kasino digital desainkecerdasan buatan evolusi kasino digitalmahjong dilengkapi pembayaran cepat efisienmahjong pgsoft inovasi digital terbarumahjong ways pgsoft terbaru praktisoptimalisasi kasino online sistem interktifoptimalisasi sistem digital perilaku pemainpanduan mahjong ways pgsoft terbaru amanperkembangan pesar kasino online teknologiplatftom kasino online modern strukturpola rtp paling viral analisis tentang kerjanyapola rtp viral terbaru hari ini ungkap kerjanyarahasia pola rtp live viral tentang sistemnyarevolusi kasino online lebih inspiratiftransformasi cepat kasino berkat perantren viral rtp live terbaru cara baliknyaupdate rtp terbaru ahli cara kerjanyamahjong ways dingin taktik aman pemainmahjong ways pola misterius stabilmahjong ways sedang stabil versi pemainpola menentu mahjong pendekatan santaipola tidak terbaca halus bermain mahjong wayssaat pola mahjong ways cara amansantai tapi cara main mahjong waysstrategi santai pola tertebak mahjongtanpa pola jelas mahjong bermain amantanpa sinyal mahjong strategi cerdase5 pendekatan strategis fleksibel berbasis rtp hariane5 pengembangan rtp live dengan teknologi artificial intelligence terdepane5 perkenalkan bonus inovatif dengan performa optimal di mahjong wins 3e5 pola bermain adaptif dengan dukungan data rtp hariane5 pola tersembunyi scatter dan wild mulai terlihat lewat algoritmae5 rahasia di balik scatter dan wild mulai terkuak melalui analisis sisteme5 rahasia sistem scatter dan wild terungkap dari analisis terstrukture5 revolusi digital rtp live melalui teknologi ai berbasis datae5 rilis fitur bonus canggih dengan kinerja maksimal di game mahjonge5 sistem rtp live generasi baru dengan dukungan ai cerdascincinbetaqua365oke76slot gacorstc76samurai76TOBA1131samurai76 login