The correlation amongst insulin resistance indices( including TyG index, TyG-BMI,AIP, METS-IR along with results in patients with heart failure with preserved ejection fraction- A Short Communication

The correlation  amongst insulin resistance indices( including TyG index, TyG-BMI,AIP, METS-IR along with results in patients with heart failure with preserved ejection fraction- A Short Communication

Dr Kulvinder Kochar Kaur *1, DR Gautam Nand Allahbadia2, Dr Mandeep Singh3

 

1. Dr Kulvinder Kochar Kaur, M.D (Obstt & Gynae, specialist reproductive endocrinology & Infertility specialist). Scientific Director Dr Kulvinder  Kaur Centre For Human Reproduction 721,G.T.B. Nagar, Jalandhar-144001, Punjab,India.

2. Dr Gautam Nand Allahbadia M.D.(Obstt&Gynae),D.N.B, Scientific Director Ex-Rotunda-A Centre for Human Reproduction 672,Kalpak Garden,Perry Cross Road, Near Otter’s Club,Bandra(W)-400040

Mumbai, India.

3. Dr Mandeep Singh M.D.DM.(Std)(Neurology), Consultant Neurologist Swami Satyanand Hospital

Near Nawi Kachehri,Baradri, Ladowali road, Jalandhar, Punjab.

 

*Correspondence to: Dr Kulvinder Kochar Kaur, M.D Obstt & Gynae, specialist reproductive endocrinology & Infertility specialist, Scientific Director Dr Kulvinder  Kaur Centre For Human Reproduction 721,G.T.B. Nagar, Jalandhar-144001, Punjab,India.

Orcid Number- https://orcid.org/0000-0003-1473-3419

Copyright.

© 2025 Dr Kulvinder Kochar Kaur This is an open access article distributed under the Creative Commons Attribution  License, which permits unrestricted use, distribution, and reproduction in any medium, provided the original   work is properly cited.

Received: 24 July 2025

Published: 01 Aug 2025

DOI: https://doi.org/10.5281/zenodo.16793922

Abstract

Having   detailed   the  association  amongst abdominal obesity(AO) ,type2 diabetes mellitus( T2DM), Heart failure with preserved ejection fraction (HFpEF ), and role of adipose tissue (AT) impairment with adipocytokines,role of Diabetic  cardiomyopathy (DbCM) that is associated with greater HFpEF incidence,role of epigenetics, therapy inclusive of Sodium Glucose Transporter 2( SGLT 2)hampering agents, glucagon like peptide 1(GLP-1)-1 receptor agonist(GLP-1RA), as  innovative mechanistic modes for the  avoidance of HFpEF by utilization of  GLP-1RA as  innovative mechanistic modes for the  avoidance of HFpEF, the countercontrolling   Renin-Angiotensin system(RAS), part of escalated TG’s and diminished  HDL-C  in  the formation of IR as well as metabolic syndrome(MetS)   ,emphasized the significanceof triglyceride-glucose (TyG)index &other TyG indices for  instance triglyceride-glucose body mass index (TyG-BMI) ],triglyceride-glucose waist circumference (TyG-WC), in addition to triglyceride-glucose waistto-height ratio (TyG-WHtR) marker for evaluating IR in contrast to  the euglycemic-hyperinsulinaemic clamp test .Further we detailed role of TyG index as anticipator of HFpEF prognosis. Here we further  detail  howall  indices inclusive of TyG)index, TyG-BMI, the atherogenic index of plasma (AIP), as well as the metabolic score for insulin resistance (METS-IR), might be a meaningful anticipator of HFpEF prognosis. Such   observations emphasize  the significance of evaluating IR indices, specifically the TyG index, in the risk evaluation as well as management approaches for HFpEF patients. Nevertheless, noticeably requirement  exists to   corroborate their  observations of Chinese study  in variable populations for guaranteeing their application along  with generalization.

Key Words; Insulin resistance( IR); metabolic syndrome; HFpEF; type2 diabetes mellitus( T2DM;  hypertriglyceridemia; TyG index; TyG-BMI; AIP; METS-IR


The correlation amongst insulin resistance indices( including TyG index, TyG-BMI,AIP, METS-IR along with results in patients with heart failure with preserved ejection fraction- A Short Communication

Introduction

Earlier havingdetailed   the  association  amongst abdominal obesity(AO) ,type2 diabetes mellitus( T2DM), Heart failure with preserved ejection fraction (HFpEF ), and role of adipose tissue (AT) impairment on liberation of adipocytokines, & non coding RNA that possess a key  role in the intraorgan  crosstalk amongst AT  & cardiovascularsystem(CVS). Adipocytokines inclusive of adiponectin,leptin,resistin,visfatin ,omentin,angiopoietin like protein, zinc—α-2glycoprotein,glypican 4,lipocalin 2,secreted frizzled – related protein(SFRP),retinol binding protein-4, TNFα  ,IL-6 as well as        IL-18. Additionally, Diabetic  cardiomyopathy (DbCM)that  as per the Framingham  Heart  Study   men along   with women which had DM possessed 2.4 as well as   5  fold greater incidence  of Heart   failure(HF) respectively . Patients of  DM possessed  greater prevalence of HF with variation  from 19-26%Furthermore ,role of epigenetics inclusive of DNA methylation,histone post-translational modifications, histone acetylation, miRNAs,circRNA, lnc RNAs histonedeacetylase( HDAC)1-6; cardiac remodelling  , cardiac fibrosis, cardiac hypertrophy , LV hypertrophy, modes of cell demise for  instance cardiomyocyte apoptosis ,autophagy, pyroptosis  and PI3K&other various  signalling pathways. Recently we further updated therapy inclusive of Sodium Glucose Transporter 2( SGLT 2)hampering agents, glucagon like peptide 1(GLP-1)-1 receptor agonist(GLP-1RA), as  innovative mechanistic modes for the  avoidance of HFpEF by utilization of  GLP-1RA. Particularly GLP-1RA in case of patients with obesity, or metabolic syndrome(MetS)  or obese diabetic patients tackling the sequelae of obesity on the  heart in addition to on HFpEF, the countercontrolling   Renin-Angiotensin system(RAS) along  with avoidance of cardiovascular   injury in such a  background. Lastly, GLP-1 axis is detailed in  the form of anti diabetic, anti obesity along  with anti cardiac remodeling pathway. Moreover, previously we have outlined part of escalated TG’s and diminished  HDL-C  in  the formation of IR as well as MetS, &ii)emphasized the significanceof triglyceride-glucose (TyG)index &other TyG indices for  instance triglyceride-glucose body mass index (TyG-BMI) ],triglyceride-glucose waist circumference (TyG-WC), in addition to triglyceride-glucose waistto-height ratio (TyG-WHtR) marker for evaluating IR in contrast to  the euglycemic-hyperinsulinaemic clamp test .Further we detailed role of TyG index as anticipator of HFpEF prognosis[1-8]. Here we further  detail  howall TyG indices might be a meaningful anticipator of HFpEF prognosis.

Heart failure with preserved ejection fraction (HFpEF) represents a substantially  prevalent, complicated, as well as,heteroge­neous disorder,   that  has    the properties of  symptoms along  with signs of heart failure (HF) without obvious left ventricular systolic dysfunction [9,10]. Although   presently  a  diminishing tendency in the inci­dence of HF exists totally, the prevalence of HFpEF is persistently escalating , attributing to greater than 50%of newly diagnosed HF cases, with an incidence rate of about 27 cases per 10,000 person-years [11-13]. Acknowledged the  restricted thera­peutic avenues for HFpEF in addition to the considerable load  added by its greater mortality as well as readmission rates on healthcare cost  [14], it is of considerable significance to isolate  patients at  extensive risk dependent on modifiable clinical properties  in addition to intervene on such variables to   ameliorate their risks.

 

HFpEF   commonly coexists with metabolic comorbidi­ties, with greater than 80% of patients being overweight or obese [15], about 20-40% having diabetes, as well as greater than 40% suffering from hyperlipidemia [16].It  has been corroborated  that insulin resistance (IR) possesses a crucial  part in the crosstalk amongst metabolic condition in   addition to HFpEF [17, 18], significantly affecting cardiomyocyte working [18,19]. IR portrays a diminished sensitivity along  with insulin responsive­ness [20]. At present , plethora of non-insulin- dependent indices are frequently utilized in the form of surrogate markers for assessing IR. These are  inclusive of the triglyceride-glucose (TyG) index, the TyG index with body mass index (TyG-BMI), the atherogenic index of plasma (AIP), as well as the metabolic score for insulin resistance (METS-IR). The TyG index is attained by  calculating fasting plasma glu­cose (FBG) in addition to triglyceride (TG) quantities. Ideal cut-off values for the TyG index have been displayed in the form of 8.72 for males along  with 8.92 for females [21, 22]. TyG-BMI is an exhaustive index that is a product of the TyG index with the BMI. The  objective of index is to  yield a greater exhaustive evaluation  of    a   person’s   IR status in addition to risks associated with obesity. Analogous readings for TyG-BMI have been displayed in the form of 224.59 for males along  with 234.02 for females [22]. The calculation of AIP gets obtained in the form of the logarithm base 10 of the ratio of TG to high-density lipoprotein choles­terol (HDL-C). The AIP is utilized  to asssess the association  amongst lipid profiles as well as the risk of atherosclerosis. Despite it does not directly   determine IR, greater quantities of AIP   have an  association with IR states. Readings varying   from − 0.3 to 0.1 are correlated with low cardiovascular(CV) risk, 0.1 to 0.24 with medium CV risk, in addition to greater than 0.24 with extensive CV risk [23]. METS-IR is a scoring system that incorporates, plethora of metabolic specifications for quantfication  of a  person’s extent of IR. It is  inclusive of pointers of  FBG, BMI, TG, as well as HDL-C. A score greater than 40.16 on the METS-IR has been displayed to be associated with a significantly   escalated risk of diabetes [24]. Noticeably, It is of considerable significance that  at present there is no absolute extent  for normal readings for such IR indices. The normal array  possess the capacity of differing, based  on the study population along  with results of attraction . Thereby, the aforementioned thresholds   need to be taken into  account in  the form of reference readings instead of conclusive parameters. Studies have illustrated  that escalation of such indices are intricately correlated with escalated risks of all-cause mortality as well as inimical CV  processes in different cardiovascular disease(CVD’s) [25, 26]. Nevertheless, the capacity of variable IR indi­ces to anticipate all-cause mortality in addition to HF hospitalization in HFpEF patients has not been substantially evaluated, along  with a head-to-head contrasting of their   anticipative readings for clinical results in HFpEF is absent.

Thereby, the objective of such longitudinal cohort study was  evaluation   of in addition to contrasting the anticipative   performance of four IR indices—i)TyG,ii) TyG-BMI, iii)AIP, as well asiv) METS-IR—for long-term results in the HFpEF population. Furthermore, they explored the conglomerative action of such indices on the present risk anticipation gadget, the Meta-Analysis Global Group in ChronicHeart Failure (MAGGIC) risk score [27].

Ni et al. [28], enrolled patients with HFpEF from January 2012 as well as and December 2023. The definitions of outcome was comprised of major adverse cardiovascular event (MACE), that incorporated  all-cause mortality in addition to rehospitalization for heart failure. The plausible linear association  was looked at the association  amongst the IR indices along  with MACE. Furthermore, to assess the conglomerative prognostic value of the TyG index, they performed exhaustive evaluation by utilization of area under the curve (AUC), the continuous net reclassification index (cNRI), as well as the integrated discrimination index (IDI).

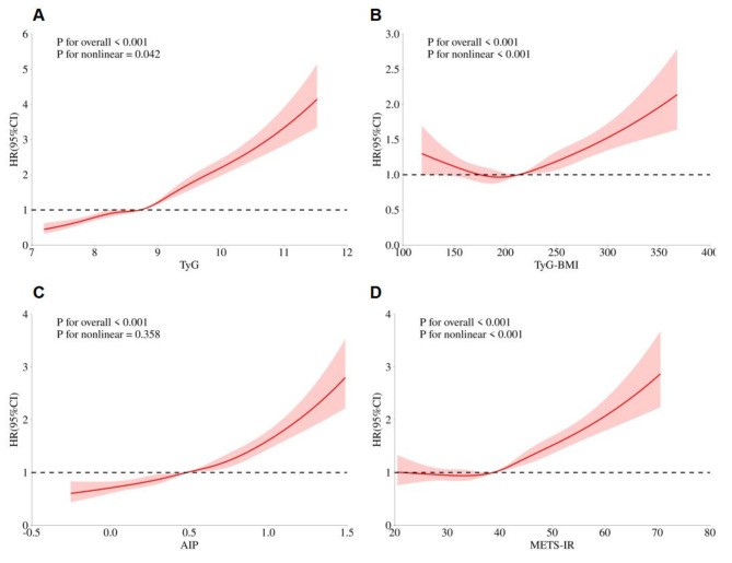
They observed overall  8693 patients met the inclusion criteria in addition to, got  included in the   ultimate   assessment. The average age of the patients was 70.59 ± 10.6 years, with 5045 (58.04%) being male. The Kaplan-Meier survival evaluation displayed that greater of the four IR indices was correlated with greater risk of MACE (all log-rank P < 0.05). Once considered lesser in  the form of a continuous variable, the TyG index illustrated a significant correlation amongst MACE (HR 2.1, 95% CI 1.98–2.23, P < 0.001 in model 1; HR 1.81, 95% CI 1.73–1.9, P < 0.001 in model 2; HR 1.68, 95% CI 1.6–1.76, P < 0.001 in model 3). Once divided into quartiles, the highest quartile of the TyG index (Q4) was significantly correlated with MACE (HR 2.48, 95% CI 2.24–2.76, P < 0.001 in model 3). Kindred significant correlation were observed amongst TyG-BMI, AIP, METS-IR, as well as MACE. The TyG index was observed to escalate the risk stratification capacity of the MAGGIC score (AUC from 0.601 to 0.666). Once contrasted with other IR pointers, the TyG index illustrated superior differentiation in addition to reclassification capabilities in anticipating  MACE. Furthermore, the TyG-BMI index displayed a U-shaped association  amongst MACE, pointing that both an escalated along  with a lesser TyG-BMI index readings were correlated with an escalated risk(see Figure1-3).


Figure1: Kaplan-Meier curves by the category of the IR indexes. TyG index (A), TyG-BMI (B), AIP (C), METS-IR (D). IR, insulin resistance; TyG, triglyceride-glucose; TyG-BMI, triglyceride-glucose index with body mass index; AIP, atherogenic index of plasma; METS-IR, metabolic score for insulin resistance

 

Figure2: RCS for the associations between the IR indexes and MACE. Red shadows and lines represent the 95% CI. TyG index (A), TyG-BMI (B), AIP (C), METS-IR (D). HR (95%CI) was adjusted according to the model 3. RCS, restricted cubic spline; IR, insulin resistance; MACE, major adverse cardiovascular event; HR, hazard ratio; CI, confidence interval; TyG, triglyceride-glucose; TyG-BMI, triglyceride-glucose index with body mass index; AIP, atherogenic index of plasma; METS-IR, metabolic score for insulin resistance

 

Figure3: Subgroup analysis of the IR indexes (per 1 SD) for MACE. TyG index (A), TyG-BMI (B), AIP (C), METS-IR (D). IR, insulin resistance; SD, standard deviation; MACE, major adverse cardiovascular event; TyG, triglyceride-glucose; TyG-BMI, triglyceride-glucose index with body mass index; AIP, atherogenic index of plasma; METS-IR, metabolic score for insulin resistance; HR, hazard ratio; CI, confidence interval; BMI, body mass index; CKD, chronic kidney disease; LVEF, left ventricular ejection fraction; LA, left atrial

 

Conclusion

Thereby, the conclusions drawn were full four IR indices are autonomously correlated with MACE in patients with HFpEF. Noticably, suchIR indices significantly   escalate the anticipative correctness  of the MAGGIC score, a broadly utilized risk assessment tool in HFpEF. 

. Of such indices, the TyG index illustrated the greatest differentiatory  as well as reclassification capabilities, yielding the highest conglomerative readings in anticipating MACE in addition to   illustrating  significant superiority in contrast  to the other indices. Such   observations emphasize  the significance of evaluating IR indices, specifically the TyG index, in the risk evaluation as well as management approaches for HFpEF patients. Nevertheless, noticeably requirement  exists to   corroborate their  observations in variable populations for guaranteeing their application along  with generalization.

 

References:

1.         Kulvinder Kochar Kaur,Allahbadia GN,Singh M. Role of Adipocyte impairment in Heart Failure Induction in subjects that are obese along with prediabetes and overt Diabetes mellitus  -A Systematic Review.J Cardiol &Card Disord 2021;2(1):1-21.

2.         Kulvinder Kochar Kaur,Allahbadia GN,Singh M. “Paradoxical Additional Role of SGLT2 Inhibitors Beyond Glycosuria in Controlling Obesity, NAFLD Treatment, Pancreatic β Cell Protection Besides Therapy for Diabetes Mellitus, CVOT and Renoprotection-A Minireview". Acta Scientific Gastrointestinal Disorders2021; 4 .7 (): 15-26

3.         Kulvinder Kochar Kaur,Allahbadia GN,Singh M. Updating the Classification of Type 2 Diabetes Mellitus Subgroups by Ahlqvist for Achievemenof Individualized Treatment Approaches for greater DM C5ontrol from Initiation and Avoidance of End Stage Damage. Pancreat Disord Ther.2021; 11:218.

4.         Kulvinder Kochar Kaur,Allahbadia GN,Singh M.Association of Iron Metabolism Abnormalities as Etiopathogenetic Factor in Alteration of Beta Cell Function and Impairment in Generation of Diabetes Mellitus: A Systematic Review. J Clinical Research and Reports, 2022;11(1); DOI:10.31579/2690-1919/241

5.         Kulvinder Kochar Kaur,Allahbadia GN,Singh M.’An Update on Molecular Modes Implicated in Diastolic Impairment in Early Diabetic  Cardiomyopathy;Probable Modes of Therapy &Avoidance-A Narrative Review’’. I J cardio & card diso; 2023;4(2)12-21.

6.         Kulvinder Kochar Kaur,Allahbadia GN,Singh M.Diabetic Cardiomyopathy: An Update on Its PathophysiologyWith SpecifEmphasis on Epigenetics Modifications BesideTreatment – A Systematic Review. BOHR International Journal of Current Research in Diabetes and Preventive Medicine2022; 1(1):. 1–16.https://doi.org/10.54646/bijrdpm.001-changedto  DOI (i.e., 10.54646/bijrdpm.2023.01

7.         Kulvinder Kochar Kaur,Allahbadia GN,Singh M. ’Resurgence of idea of hypertriglyceridemia and Lesser serum (HDL-C) as predictive factors for insulin resistance  (IR) & type 2 Diabetes mellitus development-A narrative review’’2025-undergalley proof.

8.         Kulvinder Kochar Kaur,Allahbadia GN,Singh M.

9.         Redfield MM, Borlaug BA. Heart failure with preserved ejection fraction: a review. JAMA. 2023;329(10):827–38. https:/ /doi.or g/10.10 01/j ama.2023.2020.

10.       Borlaug BA. Evaluation and management of heart failure with preserved ejec¬tion fraction. Nat Rev Cardiol. 2020;17(9):559–73. h t t p s : / / d o i . o r g / 1 0 . 1 0 3 8 / s 4 1 56 9 - 0 2 0 - 0 3 6 3 - 2 .

11.       Gerber Y, Weston SA, Redfield MM, et al. A contemporary appraisal of the heart failure epidemic in Olmsted County, Minnesota, 2000 to 2010. JAMA Intern Med. 2015;175(6):996–1004. h t t p s : / / d o i . o r g / 1 0 . 1 0 0 1 / j a m a i n t e r n m e d . 2 01 5 . 0 9 2 4 .

12.       Bhambhani V, Kizer JR, Lima JAC, et al. Predictors and outcomes of heart fail¬ure with mid-range ejection fraction. Eur J Heart Fail. 2018;20(4):651–9. https:/ /doi.or g/10.10 02/e jhf.1091.

13.       Tsao CW, Lyass A, Enserro D, et al. Temporal trends in the incidence of and mortality associated with heart failure with preserved and reduced ejection fraction. JACC Heart Fail. 2018;6(8):678–85. h t t p s : / / d o i . o r g / 1 0 . 1 0 1 6 / j . j c h f . 2 0 1 8 . 03 . 0 0 6 .

14.       Dunlay SM, Roger VL, Redfield MM. Epidemiology of heart failure with pre¬served ejection fraction. Nat Rev Cardiol. 2017;14(10):591–602. h t t p s : / / d o i . o r g /1 0 . 1 0 3 8 / n r c a r d i o . 2 0 1 7 . 6 5 .

15.       Haass M, Kitzman DW, Anand IS, et al. Body mass index and adverse cardio¬vascular outcomes in heart failure patients with preserved ejection fraction: results from the Irbesartan in Heart failure with preserved ejection fraction (I-PRESERVE) trial. Circ Heart Fail. 2011;4(3):324–31. h t t p s : / / d o i . o r g / 1 0 . 1 1 6 1 / C I RC H E A R T F A I L U R E . 1 1 0 . 9 5 9 8 9 0 .

16.       Meta-analysis Global Group in Chronic Heart Failure (MAGGIC). The survival of patients with heart failure with preserved or reduced left ventricular ejection fraction: an individual patient data meta-analysis. Eur Heart J. 2012;33(14):1750–7. https:/ /doi.or g/10.10 93/e urheartj/ehr254.

17.       Paneni F, Beckman JA, Creager MA, Cosentino F. Diabetes and vascular disease: pathophysiology, clinical consequences, and medical therapy: part I. Eur Heart J. 2013;34(31):2436–43. https:/ /doi.or g/10.10 93/e urheartj/eht149.

18.       Capone F, Sotomayor-Flores C, Bode D, et al. Cardiac metabolism in HFpEF: from fuel to signalling. Cardiovasc Res. 2023;118(18):3556–75. 10.1093/cvr/cvac166.

19.       Hahn VS, Petucci C, Kim MS, et al. Myocardial metabolomics of human heart failure with preserved ejection fraction. Circulation. 2023;147(15):1147–61. https:/ /doi.or g/10.11 61/C IRCULATIONAHA.122.061846.

20.       Defronzo RA. Banting lecture. From the triumvirate to the ominous octet: a new paradigm for the treatment of type 2 diabetes mellitus. Diabetes. 2009;58(4):773–95. https:/ /doi.or g/10.23 37/d b09-9028.

21.       Guerrero-Romero F, Simental-Mendía LE, González-Ortiz M, et al. The product of triglycerides and glucose, a simple measure of insulin sensitivity. Compari¬son with the euglycemic-hyperinsulinemic clamp. J Clin Endocrinol Metab. 2010;95(7):3347–51. https:/ /doi.or g/10.12 10/j c.2010-0288.

22.       Ramírez-Vélez R, Pérez-Sousa MÁ, González-Ruíz K, et al. Obesity- and lipid-related parameters in the identification of older adults with a high risk of Prediabetes according to the American Diabetes Association: an analysis of the 2015 Health, Well-Being, and Aging Study. Nutrients. 2019;11(11):2654. https:/ /doi.or g/10.33 90/n u11112654.

23.       Dobiásová M. AIP–aterogenní index plazmy jako významný prediktor kardio-vaskulárního rizika: Od výzkumu do praxe [AIP–atherogenic index as a significant predictor of cardiovascular risk: from research to practice. Vnitr Lek. 2006;52(1):64–71.

24.       Bello-Chavolla OY, Almeda-Valdes P, Gomez-Velasco D, et al. METS-IR, a novel score to evaluate insulin sensitivity, is predictive of visceral adiposity and incident type 2 diabetes. Eur J Endocrinol. 2018;178(5):533–44. h t t p s : / / d o i . o r g /1 0 . 1 5 3 0 / E J E - 1 7 - 0 8 8 3 .

25.       Ramdas Nayak VK, Satheesh P, Shenoy MT, Kalra S. Triglyceride glucose (TyG) index: a surrogate biomarker of insulin resistance. J Pak Med Assoc. 2022;72(5):986–8. https:/ /doi.or g/10.47 391/ JPMA.22-63.

26.       Tao LC, Xu JN, Wang TT, Hua F, Li JJ. Triglyceride-glucose index as a marker in cardiovascular diseases: landscape and limitations. Cardiovasc Diabetol. 2022;21(1):68. https:/ /doi.or g/10.11 86/s 12933-022-01511-x. Published 2022 May 6.

27.       Pocock SJ, Ariti CA, McMurray JJ, et al. Predicting survival in heart fail¬ure: a risk score based on 39 372 patients from 30 studies. Eur Heart J. 2013;34(19):1404–13. https:/ /doi.or g/10.10 93/e urheartj/ehs337.

28.       NiW, JiangR, XuD, ZhuJ, ChenJ, LinU, Zhou H. Association between insulin resistance indices and outcomes in patients with heart failure with preserved ejection fraction . Cardiovascular Diabetology2025 24:32.

Figure 1

Figure 2

Figure 3

antarmuka fokus mahjong daya pengguna aktifaws grid serasi mahjong dasar tahapan terjagaaws jejak mekanisme mahjong arah fase lanjutanaws kajian wild berantai mahjong interaktif analitisaws kesesuaian persentase layanan mahjong seluler lanceraws pendalaman persentase mahjong gerak wild mutakhircorak langka mahjong tumbuh perlahan berubahgerak mahjong adaptasi mekanisme pemakai sekarangnalar scatter mahjong malam putaran ekstratempo mahjong kaitan mekanisme keadaan terkinialur permainan mahjong cepat scatter wilddalam hitungan detik scatter wild mahjongmenyatukan naluri pola scatter hitam mahjongmomen mahjong permainan berbalik arahmomen singkat mahjong dinamika permainanperpaduan insting pola scatter hitam momentperubahan drastis mahjong ways scatter wildscatter wild mahjong datang polasekejap berubah scatter wild mahjong wayssensasi baru mahjong lebih scatter wildenergi scatter emas irama reel mahjongevolusi reel mahjong balutan mistisintervensi cepat emas momentum lamakemunculan mendadak naga emas mahjongketika scatter naga emas aktif mahjongnaga emas muncul arah spin mahjongnaga emas ritme mahjong ways berubahrahasia rtp tinggi balik scatter hitamsaat scatter naga emas alih irama reelscatter hitam kunci lonjakan rtp mahjonge5 scatter wild memberikan sentuhan baru di setiap spin mahjong ways 2e5 scatter wild menghidupkan suasana permainan mahjong ways 2e5 scatter wild mengubah pola permainan mahjong ways 2 secara signifikane5 setiap putaran mahjong ways 2 terasa berbeda dengan scatter wilde5 strategi adaptif berbasis analisis rtp hariane5 strategi berbasis data dan algoritma untuk analisis momentume5 strategi berkembang berkat data rtp hariane5 strategi memahami algoritma untuk mengidentifikasi momentum ideale5 strategi membaca pola algoritma demi menangkap momentum optimale5 strategi modern mengandalkan evaluasi rtp hariane5 strategi responsif dengan dukungan evaluasi rtp hariane5 strategi terukur dengan analisis rtp hariane5 struktur scatter dan wild terlihat jelas berkat analisis sistem moderne5 tanpa disadari kombinasi ini sering mengarah ke scatter di mahjong wins 3e5 teknik evaluasi algoritma untuk mendapatkan momentum yang tepate5 teknik observasi sistem untuk analisis momentum yang lebih presisie5 terungkap formasi ini sering jadi awal munculnya scatter di mahjong wins 3e5 transformasi digital rtp live berkat artificial intelligence inovatife5 transformasi ritme mahjong ways 2 dipicu oleh kekuatan scatter wilde5 wajib tahu pola tersembunyi ini sering menghasilkan scattere5 applee5 bananae5 candye5 doge5 eaglee5 falcone5 geminie5 horsee5 indiae5 japananalisa pola mahjong ways rutinanalisis kinerja heuristik variansi gameanalisis pola mahjong ways hariananalisis pola mahjong ways kebiasaanera baru mahjong wins bonus optimalgebrakan bonus mahjong wins mekanisme efisieninsight pola mahjong ways rutinkajian pola mahjong ways rutinkomparasi heuristik variansi game digitalledakan bonus mahjong wins sistem efektifmahjong wins bonus sistem generasi baruobservasi pola mahjong ways harianpendekatan algoritma heuristik variansi gameperbandingan model heuristik variansi gamerahasia bonus mahjong wins sistem cerdasrangkuman pola mahjong ways harianringkasan pola mahjong ways harianstudi pola mahjong ways hariantinjauan heuristik variansi game digitaltinjauan pola mahjong ways harianalur sombol mahjong kemunculan scatterdari rtp mahjong bermain lebih efektifjejak scatter mahjong putaran tenangkejutan scatter wild simbol mahjong arahkemunculan simbol ganda membuat mahjongketika grid mahjong scatter semakin dekatketika rtp mahjong pola mulai lebih jelasketika scatter wild ritme simbol mahjongketika scatter wild titik sesi mahjong waysketika susunan simbol mahjong ritme scattermemahami rtp mahjong cara bermain lebihpergerakan simbol mahjong scatter wildpergeseran mahjong ketika scatter hadirsaat rtp mahjong terbaca baik strategisaat scatter hadir simbol mahjong bergeserscatter wild dinamika simbol mahjongstabilitas putaran mahjong pola scattersusunan baru reel mahjong scatter emassusunan mahjong wins mengandung scattersusunan simbol mahjong diam pola scatterrm menguak keunikan mahjong wins sudut pandang teknisrm cara memahami pergerakan mahjong ways tenaga ekstrarm mahjong wins standar baru industri hiburan digitalrm rahasia ketahanan mahjong ways eksis gempuran gamerm pentingnya memahami transisi level mahjong wins mendalamrm strategi mengatur tempo mahjong ways kendali permainanrm peran kecerdasan buatan mekanisme mahjong wins adilrm alasan keberhasilan mahjong ways mencuri perhatian analisrm mempelajari struktur dasar mahjong wins efisiensi putaranrm inovasi desain mahjong ways kesan bermain responsifrm teknik observasi mahjong wins jarang dibahas dampakrm cara mempertahankan fokus dinamika mahjong ways cepatrm eksplorasi fitur tersembunyi mahjong wins ritme terbaikrm mahjong ways integrasi teknologi modern keamanan nyamanrm analisis faktor pendukung mahjong wins digemari generasirm langkah efektif menyesuaikan perubahan sistem mahjong waysrm mengintip proses pengembangan mahjong wins kualitas penggunarm analisis data membantu membaca arah mahjong waysrm menemukan titik temu insting logika mahjong winsrm transformasi besar mahjong ways menghadirkan tantangan menarikmengungkap simbol langka nasib drastismisteri besar kombinasi simbol langkamisteri simbol langka keberuntungan besarsimbol langka misterius ubah hiduprahasia simbol langka nasib cepattransformasi bonus mahjong wins sistem efektifmahjong wins suguhkan bonus sistem modernsuguhan bonus efisien mahjong winsefektivitas sistem bonus mahjong winsmahjong wins hadirkan bonus sistem optimaloke76cincinbetaqua365slot gacorstc76samurai76TOBA1131samurai76 login